根据P=W/t,计算W,即W=Pt;根据P=Fv,计算F、v即F=P/v,v=P/F。
功率与力和速度的关系:
此公式对功率的实际应用有较大的意义。例如汽车发动机的功率一定时,用
可知,牵引力与速度成反比。所以汽车爬坡时,司机采用的措施是换挡减速,以获得更大的牵引力。例:某工人用一个动滑轮将重50N的物体沿竖直方向匀速提升3m,拉力做功的功率为50w,若不计摩擦力和动滑轮重,则绳子自由端移动的速度是______m/s。
解析:由于不计摩擦力和动滑轮重量,拉力做的功就等于不用动滑轮人直接用手将重50N的物体沿竖直方向匀速提升3m所做的功,即
。本题要求绳子自由端移动的速度可用两种思路:(1)由
求出做功时间t,再由动滑轮特点可得s=2h,然后由
求出速度。(2)也可由公式
,用已知条件中的P和分析求得的F直接求出v。
方法一:绳自由端移动的距离

拉力做的功

绳自由端移动的时间

绳自由端移动的速度

方法二:由
得
=2m/s答案:2
相关初中物理知识点:速度公式及其应用
速度的公式:
,其中v表示速度,s表示路程,t表示时间。注意:
①应用
计算时,单位要统一。s用米(m),t用秒(s)作单位时,速度v的单位为米/秒 (m/s);当s用千米(km),t用小时(h)时,速度v的单位为千米/时(km/h)。②公式
的三个物理量必须对应于同一物体。火车过桥(隧道)问题:
火车穿过隧道时,火车头进人隧道就开始算起,直到火车尾离开隧道才叫做火车通过了隧道,所以火车穿过隧道经过的路程应该等于隧道长与车身长度的和。过大桥时也类似,火车通过大桥经过的路程等于桥长加车长。故对于本身有长度的物体过桥问题小结如下:物体通过的路程等于桥长与物体本身长度的和。
例1:一列火车长200米,用20s的时间穿过了一条100m长的隧道,该火车如果以这样的速度通过长 3.4km的大桥,要用多长时间?
解析:火车穿过隧道时所走的路程:
=100m+200m=300m,时间t1=20s,火车的速度:vl =
,此速度也是火车通过大桥的速度,火车通过大桥的路程:
=3400m+ 200m=3600m,通过此桥需要的时间为
。
答案:240s
出租车问题:
1.出租车的速度表示车辆行驶过程中的行进速度,指针指示的数值就是该时刻的速度值,采用的单位为km/h。
2.里程示数窗表示该车行驶的总路程,某段时间的路程就等于这段时间内两个示数的差。
3.出租车票据上给出的上车、下车时间间隔为车行驶时间,里程就是这段时间内出租车通过的路程。利用这些信息,可以解决与出租车有关的多种问题。
例某人乘出租车时得到一张天津市客运出租行业专用发票,如表所示,此人乘车时间为____;该车这段时间内运动的平均速度为____km/h。
解析:根据出租车票据的起止时问,可以知道此人乘车时间为10min,出租车行驶的路程是5.5km,利用速度公式求出汽车的平均速度为:
=33km/h。
相关初中物理知识点:滑轮(组)中拉力的计算
滑轮组的省力情况:
使用滑轮组时,滑轮组由几段绳子吊着动滑轮,提起物体所用的力就是物重的几分之一。
滑轮组由几股绳子承担物重:
有几股绳与动滑轮相连,承担物重的绳子的股数n 就是几,而重物上升的高度h与绳子自由端移动的距离s的关系是:s=nh。如图:在动、定滑轮之间画一条线,将它们分开,只算在动滑轮上的绳子的股数。

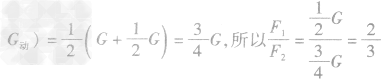
例1如图甲、乙滑轮组装置,所有摩擦不计,分别用F1、F2竖直匀速拉动重物G,已知每个滑轮重力为 G/2,则力F1和F2之比为( )

A.1:1B.3:2C.2:3D.3:4
解析:当考虑动滑轮的重力,不计摩擦时,F=
,由图中滑轮组的绕线方法可知:F1=
。答案:C
滑轮组省力情况的判断
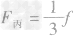
1.滑轮组竖放:若不考虑动滑轮自重以及绳、轮摩擦,滑轮组用几股绳子吊着物体,提起物体所用的动力就是物重的几分之一,即
;若考虑动滑轮自重,但忽略摩擦,此式变为F拉=
。用“连动法”,弄清直接与动滑轮连接的绳子的根数n,在图甲中我们以重物和动滑轮为研究对象,n=4,有四根绳子承担动滑轮及重物,所以用力
。同理,分析乙图可知,提起重物及动滑轮的
。
2.滑轮组横放:在不考虑绳、轮摩擦时,滑轮组用几股绳拉着物体做匀速直线运动,拉力大小就是物体所受摩擦力的几分之一,即:
。例1同一物体沿相同的水平地面被匀速移动,如下图所示,托力分别为F甲、F乙、F丙,不记滑轮与轻绳间的摩擦,比较它们的大小,则( )

A.F甲<F乙<F丙
B.F甲>F乙>F丙
C.F甲>F乙=F丙
D.F甲=F乙>F丙
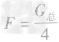
解析:三种情况下物体与地面的摩擦都相等为f,甲是定滑轮,F甲=f,乙是动滑轮,
,丙是滑轮组,
,即
,选B。例2如图甲所示,物体4在拉力F的作用下做匀速直线运动,弹簧测力计的示数是5N,那么拉力,为_____N,物体A与地面间的摩擦力为_____N。

解析:本题动滑轮的动力施加在转轴上,是一种费力的用法,其实质是动力臂是阻力臂一半的杠杆,要费力,其杠杆示意图如图所示。
答案:10 5
点拨:此题的图可以旋转90。与常见的动滑轮对比。
本文来自:逍遥右脑记忆 http://www.jiyifa.com/chuzhong/308607.html
相关阅读:初中物理知识点:测量电功率的实验



