绝密★启用前
2019年普通高等学校招生全国统一考试
理科综合能力测试
注意事项:
1.答卷前,考生务必将自己的姓名、准考证号填写在答题卡上。
2.回答选择题时,选出每小题答案后,用铅笔把答题卡上对应题目的答案标号涂黑,如需改动,用橡皮擦干净后,再选涂其它答案标号。回答非选择题时,将答案写在答题卡上,写在本试卷上无效。
3.考试结束后,将本试卷和答题卡一并交回。
可能用到的相对原子质量:H 1 C 12 N 14 O 16 F 19 Na 23 S 32 Cl 35.5 As 75 I 127
Sm 150
一、选择题:本题共13个小题,每小题6分。共78分,在每小题给出的四个选项中,只有一项是符合题目要求的。
1.在真核细胞的内质网和细胞核中能够合成的物质分别是
A.脂质、RNA
B.氨基酸、蛋白质
C.RNA、DNA
D.DNA、蛋白质
2.马铃薯块茎储藏不当会出现酸味,这种现象与马铃薯块茎细胞的无氧呼吸有关。下列叙述正确的是
A.马铃薯块茎细胞无氧呼吸的产物是乳酸和葡萄糖
B.马铃薯块茎细胞无氧呼吸产生的乳酸是由丙酮酸转化而来
C.马铃薯块茎细胞无氧呼吸产生丙酮酸的过程不能生成ATP
D.马铃薯块茎储藏库中氧气浓度的升高会增加酸味的产生
3.某种H﹢-ATPase是一种位于膜上的载体蛋白,具有ATP水解酶活性,能够利用水解ATP释放的能量逆浓度梯度跨膜转运H﹢。①将某植物气孔的保卫细胞悬浮在一定pH的溶液中(假设细胞内的pH高于细胞外),置于暗中一段时间后,溶液的pH不变。②再将含有保卫细胞的该溶液分成两组,一组照射蓝光后溶液的pH明显降低;另一组先在溶液中加入H﹢-ATPase的抑制剂(抑制ATP水解),再用蓝光照射,溶液的pH不变。根据上述实验结果,下列推测不合理的是
A.H﹢-ATPase位于保卫细胞质膜上,蓝光能够引起细胞内的H﹢转运到细胞外
B.蓝光通过保卫细胞质膜上的H﹢-ATPase发挥作用导致H﹢逆浓度梯度跨膜运输
C.H﹢-ATPase逆浓度梯度跨膜转运H﹢所需的能量可由蓝光直接提供
D.溶液中的H﹢不能通过自由扩散的方式透过细胞质膜进入保卫细胞
4.当人体失水过多时,不会发生的生理变化是
A.血浆渗透压升高
B.产生渴感
C.血液中的抗利尿激素含量升高
D.肾小管对水的重吸收降低
5.某种植物的羽裂叶和全缘叶是一对相对性状。某同学用全缘叶植株(植株甲)进行了下列四个实验。
①植株甲进行自花传粉,子代出现性状分离
②用植株甲给另一全缘叶植株授粉,子代均为全缘叶
③用植株甲给羽裂叶植株授粉,子代中全缘叶与羽裂叶的比例为1∶1
④用植株甲给另一全缘叶植株授粉,子代中全缘叶与羽裂叶的比例为3∶1
其中能够判定植株甲为杂合子的实验是
A.①或②
B.①或④
C.②或③
D.③或④
6.如果食物链上各营养级均以生物个体的数量来表示,并以食物链起点的生物个体数作层来绘制数量金字塔,则只有两个营养级的夏季草原生态系统(假设第一营养级是牧草,第二营养级是羊)和森林生态系统(假设第一营养级是乔木,第二营养级是昆虫)数量金字塔的形状最可能是
A.前者为金字塔形,后者为倒金字塔形
B.前者为倒金字塔形,后者为金字塔形
C.前者为金字塔形,后者为金字塔形
D.前者为倒金字塔形,后者为倒金字塔形
7.“春蚕到死丝方尽,蜡炬成灰泪始干”是唐代诗人李商隐的著名诗句,下列关于该诗句中所涉及物质的说法错误的是
A.蚕丝的主要成分是蛋白质
B.蚕丝属于天热高分子材料
C.“蜡炬成灰”过程中发生了氧化反应
D.古代的蜡是高级脂肪酸酯,属于高分子聚合物
8.已知NA是阿伏加德罗常数的值,下列说法错误的是
A.3g 3He含有的中子数为1NA
![]()
C.1 mol K2Cr2O7被还原为Cr3+转移的电子数为6NA
D.48 g正丁烷和10 g异丁烷的混合物中共价键数目为13NA
9.今年是门捷列夫发现元素周期律150周年。下表是元素周期表的一部分,W、X、Y、Z为短周期主族元素,W与X的最高化合价之和为8。下列说法错误的是

A.原子半径:W<X
B.常温常压下,Y单质为固态
C.气态氢化物热稳定性:Z<W
D.X的最高价氧化物的水化物是强碱
10.下列实验现象与实验操作不相匹配的是
|
|
实验操作 |
实验现象 |
|
A |
向盛有高锰酸钾酸性溶液的试管中通入足量的乙烯后静置 |
溶液的紫色逐渐褪去,静置后溶液分层 |
|
B |
将镁条点燃后迅速伸入集满CO2的集气瓶 |
集气瓶中产生浓烟并有黑色颗粒产生 |
|
C |
向盛有饱和硫代硫酸钠溶液的试管中滴加稀盐酸 |
有刺激性气味气体产生,溶液变浑浊 |
|
D |
向盛有FeCl3溶液的试管中加过量铁粉,充分振荡后加1滴KSCN溶液 |
黄色逐渐消失,加KSCN后溶液颜色不变 |
11.下列化学方程式中,不能正确表达反应颜色变化的是
A.向CuSO4溶液中加入足量Zn粉,溶液蓝色消失:Zn+CuSO4===Cu+ZnSO4
B.澄清的石灰水久置后出现白色固体:Ca(OH)2+CO2===CaCO3↓+H2O
C.Na2O2在空气中放置后由淡黄色变为白色:2Na2O2===2Na2O+O2↑
D.向Mg(OH)2悬浊液中滴加足量FeCl3溶液出现红褐色沉淀:3Mg(OH)2+2FeCl3===2Fe(OH)3+3MgCl2
12.绚丽多彩的无机颜料的应用曾创造了古代绘画和彩陶的辉煌。硫化镉(CdS)是一种难溶于水的黄色颜料,其在水中的沉淀溶解平衡曲线如图所示。下列说法错误的是

A.图中a和b分别为T1、T2温度下CdS在水中的溶解度
B.图中各点对应的Ksp的关系为:Ksp(m)=Ksp(n)<Ksp(p)<Ksp(q)
C.向m点的溶液中加入少量Na2S固体,溶液组成由m沿mpn线向p方向移动
D.温度降低时,q点的饱和溶液的组成由q沿qp线向p方向移动
13.分子式为C4H8BrCl的有机物共有(不含立体异构)
A.8种 B.10种 C.12种 D.14种
二、选择题:本题共8小题,每小题6分。在每小题给出的四个选项中,第14~18题只有一项符合题目要求,第19~21题有多项符合题目要求。全部选对的得6分,选对但不全的得3分,有选错的得0分。
14.2019年1月,我国嫦娥四号探测器成功在月球背面软着陆,在探测器“奔向”月球的过程中,用h表示探测器与地球表面的距离,F表示它所受的地球引力,能够描F随h变化关系的图像是



A.物体的质量为2 kg
B.h=0时,物体的速率为20 m/s
C.h=2 m时,物体的动能Ek=40 J
D.从地面至h=4 m,物体的动能减少100 J
19.如图(a),在跳台滑雪比赛中,运动员在空中滑翔时身体的姿态会影响其下落的速度和滑翔的距离。某运动员先后两次从同一跳台起跳,每次都从离开跳台开始计时,用v表示他在竖直方向的速度,其v-t图像如图(b)所示,t1和t2是他落在倾斜雪道上的时刻。则

A.第二次滑翔过程中在竖直方向上的位移比第一次的小
B.第二次滑翔过程中在水平方向上的位移比第一次的大
C.第一次滑翔过程中在竖直方向上的平均加速度比第一次的大
D.竖直方向速度大小为v1时,第二次滑翔在竖直方向上所受阻力比第一次的大
20.静电场中,一带电粒子仅在电场力的作用下自M点由静止开始运动,N为粒子运动轨迹上的另外一点,则
A.运动过程中,粒子的速度大小可能先增大后减小
B.在M、N两点间,粒子的轨迹一定与某条电场线重合
C.粒子在M点的电势能不低于其在N点的电势能
D.粒子在N点所受电场力的方向一定与粒子轨迹在该点的切线平行
21.如图,两条光滑平行金属导轨固定,所在平面与水平面夹角为θ,导轨电阻忽略不计。虚线ab、cd均与导轨垂直,在ab与cd之间的区域存在垂直于导轨所在平面的匀强磁场。将两根相同的导体棒PQ、MN先后自导轨上同一位置由静止释放,两者始终与导轨垂直且接触良好。已知PQ进入磁场开始计时,到MN离开磁场区域为止,流过PQ的电流随时间变化的图像可能正确的是


三、非选择题:共174分,第22~32题为必考题,每个试题考生都必须作答。第33~38题为选考题,考生根据要求作答。
(一)必考题:共129分。
22.(5分)
如图(a),某同学设计了测量铁块与木板间动摩擦因数的实验。所用器材有:铁架台、长木板、铁块、米尺、电磁打点计时器、频率50Hz的交流电源,纸带等。回答下列问题:
(1)铁块与木板间动摩擦因数μ= (用木板与水平面的夹角θ、重力加速度g和铁块下滑的加速度a表示)

(2)某次实验时,调整木板与水平面的夹角θ=30°。接通电源。开启打点计时器,释放铁块,铁块从静止开始沿木板滑下。多次重复后选择点迹清晰的一条纸带,如图(b)所示。图中的点为计数点(每两个相邻的计数点间还有4个点未画出)。重力加速度为9.8 m/s2。可以计算出铁块与木板间的动摩擦因数为 (结果保留2位小数)。

23.(10分)
某小组利用图(a)所示的电路,研究硅二极管在恒定电流条件下的正向电压U与温度t的关系,图中V1和V2为理想电压表;R为滑动变阻器,R0为定值电阻(阻值100 Ω);S为开关,E为电源。实验中二极管置于控温炉内,控温炉内的温度t由温度计(图中未画出)测出。图(b)是该小组在恒定电流为50.0μA时得到的某硅二极管U-I关系曲线。回答下列问题:

(1)实验中,为保证流过二极管的电流为50.0μA,应调节滑动变阻器R,使电压表V1的示数为U1= mV;根据图(b)可知,当控温炉内的温度t升高时,硅二极管正向电阻 (填“变大”或“变小”),电压表V1示数 (填“增大”或“减小”),此时应将R的滑片向 (填“A”或“B”)端移动,以使V1示数仍为U1。


24.(12分)
如图,两金属板P、Q水平放置,间距为d。两金属板正中间有一水平放置的金属网G,PQG的尺寸相同。G接地,PQ的电势均为φ(φ>0)。质量为m,电荷量为q(q>0)的粒子自G的左端上方距离G为h的位置,以速度v0平行于纸面水平射入电场,重力忽略不计。
(1)求粒子第一次穿过G时的动能,以及她从射入电场至此时在水平方向上的位移大小;
(2)若粒子恰好从G的下方距离G也为h的位置离开电场,则金属板的长度最短应为多少?

25.(20分)
一质量为m=2000 kg的汽车以某一速度在平直公路上匀速行驶。行驶过程中,司机忽然发现前方100 m处有一警示牌。立即刹车。刹车过程中,汽车所受阻力大小随时间变化可简化为图(a)中的图线。图(a)中,0~t1时间段为从司机发现警示牌到采取措施的反应时间(这段时间内汽车所受阻力已忽略,汽车仍保持匀速行驶),t1=0.8 s;t1~t2时间段为刹车系统的启动时间,t2=1.3 s;从t2时刻开始汽车的刹车系统稳定工作,直至汽车停止,已知从t2时刻开始,汽车第1 s内的位移为24 m,第4 s内的位移为1 m。
(1)在图(b)中定性画出从司机发现警示牌到刹车系统稳定工作后汽车运动的v-t图线;
(2)求t2时刻汽车的速度大小及此后的加速度大小;
(3)求刹车前汽车匀速行驶时的速度大小及t1~t2时间内汽车克服阻力做的功;司机发现警示牌到汽车停止,汽车行驶的距离约为多少(以t1~t2时间段始末速度的算术平均值替代这段时间内汽车的平均速度)?

26.(13分)
立德粉ZnS·BaSO4(也称锌钡白),是一种常用白色颜料。回答下列问题:
(1)利用焰色反应的原理既可制作五彩缤纷的节日烟花,亦可定性鉴别某些金属盐。灼烧立德粉样品时,钡的焰色为__________(填标号)。
A.黄色 B.红色 C.紫色 D.绿色
(2)以重晶石(BaSO4)为原料,可按如下工艺生产立德粉:

①在回转窑中重晶石被过量焦炭还原为可溶性硫化钡,该过程的化学方程式为_____。回转窑尾气中含有有毒气体,生产上可通过水蒸气变换反应将其转化为CO2和一种清洁能源气体,该反应的化学方程式为_______。
②在潮湿空气中长期放置的“还原料”,会逸出臭鸡蛋气味的气体,且水溶性变差。其原因是“还原料”表面生成了难溶于水的_____(填化学式)。
③沉淀器中反应的离子方程式为_____。
(3)成品中S2的含量可以用“碘量法”测得。称取m g样品,置于碘量瓶中,移取25.00 mL 0.1000 mol·L1的I2KI溶液于其中,并加入乙酸溶液,密闭,置暗处反应5 min,有单质硫析出。以淀粉溶液为指示剂,
A.通入惰性气体 B.提高温度 C.增加环戊烯浓度 D.增加碘浓度
(3)环戊二烯容易发生聚合生成二聚体,该反应为可逆反应。不同温度下,溶液中环戊二烯浓度与反应时间的关系如图所示,下列说法正确的是_____(填标号)。

A.T1>T2
B.a点的反应速率小于c点的反应速率
C.a点的正反应速率大于b点的逆反应速率
D.b点时二聚体的浓度为0.45 mol·L1
该电解池的阳极为____________,总反应为__________________。电解制备需要在无水条件下进行,原因为_________________________。
28.(15分)
咖啡因是一种生物碱(易溶于水及乙醇,熔点234.5℃,100℃以上开始升华),有兴奋大脑神经和利尿等作用。茶叶中含咖啡因约1%~5%、单宁酸(Ka约为104,易溶于水及乙醇)约3%~10%,还含有色素、纤维素等。实验室从茶叶中提取咖啡因的流程如下图所示。

索氏提取装置如图所示。实验时烧瓶中溶剂受热蒸发,蒸汽沿蒸汽导管2上升至球形冷凝管,冷凝后滴入滤纸套筒1中,与茶叶末接触,进行萃取。萃取液液面达到虹吸管3顶端时,经虹吸管3返回烧瓶,从而实现对茶叶末的连续萃取。回答下列问题:

(1)实验时需将茶叶研细,放入滤纸套筒1中,研细的目的是______________,圆底烧瓶中加入95%乙醇为溶剂,加热前还要加几粒______________。
(2)提取过程不可选用明火直接加热,原因是______________,与常规的萃取相比,采用索氏提取器的优点是______________。
(3)提取液需经“蒸馏浓缩”除去大部分溶剂,与水相比,乙醇作为萃取剂的优点是______________。“蒸发浓缩”需选用的仪器除了圆底烧瓶、蒸馏头、温度计、接收管之外,还有______________(填标号)。
A.直形冷凝管 B.球形冷凝管C.接收瓶D.烧杯
(5)可采用如图所示的简易装置分离提纯咖啡因。将粉状物放入蒸发皿中并小火加热,咖啡因在扎有小孔的滤纸上凝结,该分离提纯方法的名称是______________。
29.(8分)
某研究小组切取某种植物胚芽鞘的顶端,分成甲、乙两组,按下图所示的方法用琼脂块收集生长素,再将含有生长素的琼脂块置于去顶胚芽鞘切段的一侧,一段时间后,测量胚芽鞘切断的弯曲程度(α角),测得数据如下表。据此回答问题。

|
分组 |
甲 |
乙 |
|
|
琼脂块 |
左 |
右 |
|
|
α角/度 |
20.4 |
9.0 |
9.1 |
(1)生长素在胚芽鞘中的运输属于极性运输,这种运输的方向是_________。
(2)上图中α角形成的原因是_________。
(3)据表可知乙组中左、右两侧的琼脂块所引起的α角基本相同,但小于甲琼脂块所引起的α角,原因是________。
30.(8分)
环境中的内分泌干扰物是与某种性激素分子结构类似的物质,对小鼠的内分泌功能会产生不良影响。回答下列问题。
(1)通常,机体内性激素在血液中的浓度____,与靶细胞受体结合并起作用后会________。
(2)与初级精母细胞相比,精细胞的染色体数目减半,原因是在减数分裂过程中__________。
(3)小鼠睾丸分泌的激素通过体液发挥调节作用。与神经调节相比,体液调节的特点有________(答出4点即可)。
31.(11分)
回答下列与生态系统相关的问题。
(1)在森林生态系统中,生产者的能量来自于_________,生产者的能量可以直接流向_______(答出2点即可)。
(2)通常,对于一个水生生态系统来说,可根据水体中含氧量的变化计算出生态系统中浮游植物的总初级生产量(生产者所制造的有机物总量)。若要测定某一水生生态系统中浮游植物的总初级生产量,可在该水生生态系统中的某一水深处取水样,将水样分成三等份,一份直接测定O2含量(A);另两份分别装入不透光(甲)和透光(乙)的两个玻璃瓶中,密闭后放回取样处,若干小时后测定甲瓶中的O2含量(B)和乙瓶中的O2含量(C)。据此回答下列问题。
在甲、乙瓶中生产者呼吸作用相同且瓶中只有生产者的条件下,本实验中C与A的差值表示这段时间内_____________;C与B的差值表示这段时间内_____________;A与B的差值表示这段时间内_________。
32.(12分)
某种甘蓝的叶色有绿色和紫色。已知叶色受2对独立遗传的基因A/a和B/b控制,只含隐性基因的个体表现隐性性状,其他基因型的个体均表现显性性状。某小组用绿叶甘蓝和紫叶甘蓝进行了一系列实验。
实验①:让绿叶甘蓝(甲)的植株进行自交,子代都是绿叶
实验②:让甲植株与紫叶甘蓝(乙)植株进行杂交,子代个体中绿叶∶紫叶=1∶3
回答下列问题。
(1)甘蓝叶色中隐性性状是__________,实验①中甲植株的基因型为__________。
(2)实验②中乙植株的基因型为________,子代中有________种基因型。
(3)用另一紫叶甘蓝(丙)植株与甲植株杂交,若杂交子代中紫叶和绿叶的分离比为1∶1,则丙植株所有可能的基因型是________;若杂交子代均为紫叶,则丙植株所有可能的基因型是_______;若杂交子代均为紫叶,且让该子代自交,自交子代中紫叶与绿叶的分离比为15∶1,则丙植株的基因型为________。
(二)选考题:共45分。请考生从2道物理题、2道化学题、2道生物题中每科任选一题作答。如果多做,则每科按所做的第一题计分。
33.[物理—选修3-3](15分)
(1)(5分)如p-V图所示,1、2、3三个点代表某容器中一定量理想气体的三个不同状态,对应的温度分别是T1、T2、T3。用N1、N2、N3分别表示这三个状态下气体分子在单位时间内撞击容器壁上单位面积的次数,则N1______N2,T1______T3,T3,N2______N3。(填“大于”“小于”或“等于”)

(2)(10分)如图,一容器由横截面积分别为2S和S的两个汽缸连通而成,容器平放在地面上,汽缸内壁光滑。整个容器被通过刚性杆连接的两活塞分隔成三部分,分别充有氢气、空气和氮气。平衡时,氮气的压强和体积分别为p0和V0,氢气的体积为2V0,空气的压强为p。现缓慢地将中部的空气全部抽出,抽气过程中氢气和氮气的温度保持不变,活塞没有到达两汽缸的连接处,求:
(i)抽气前氢气的压强;
(ii)抽气后氢气的压强和体积。

34.[物理——选修3–4](15分)
(1)(5分)如图,长为l的细绳下方悬挂一小球a。绳的另一端固定在天花板上O点处,在O点正下方3/4lL的0·处有一固定细铁钉。将小球向右拉开,使细绳与竖直方向成一小角度(约为2°)后由静止释放,并从释放时开始计时。当小球a摆至最低位置时,细绳会受到铁钉的阻挡。设小球相对于其平衡位置的水平位移为x,向右为正。下列图像中,能描述小球在开始一个周期内的x-t关系的是_____。


(2)(10分)某同学利用图示装置测量某种单色光的波长。实验时,接通电源使光源正常发光:调整光路,使得从目镜中可以观察到干涉条纹。回答下列问题:

(i)若想增加从目镜中观察到的条纹个数,该同学可__________;
A.将单缝向双缝靠近
B.将屏向靠近双缝的方向移动
C.将屏向远离双缝的方向移动
D.使用间距更小的双缝
(ii)若双缝的间距为d,屏与双缝间的距离为l,测得第1条暗条纹到第n条暗条纹之间的距离为Δx,则单色光的波长λ=_________;
(iii)某次测量时,选用的双缝的间距为0.300 mm,测得屏与双缝间的距离为1.20 m,第1条暗条纹到第4条暗条纹之间的距离为7.56 mm。则所测单色光的波长为______________nm(结果保留3位有效数字)。
35.[化学——选修3:物质结构与性质](15分)
近年来我国科学家发现了一系列意义重大的铁系超导材料,其中一类为FeSmAsFO组成的化合物。回答下列问题:
(1)元素As与N同族。预测As的氢化物分子的立体结构为_______,其沸点比NH3的_______(填“高”或“低”),其判断理由是_________________________。
(2)Fe成为阳离子时首先失去______轨道电子,Sm的价层电子排布式为4f66s2,Sm3+的价层电子排布式为______________________。
(3)比较离子半径:F__________O2(填“大于”等于”或“小于”)。
(4)一种四方结构的超导化合物的晶胞结构如图1所示,晶胞中Sm和As原子的投影位置如图2所示。

图中F和O2共同占据晶胞的上下底面位置,若两者的比例依次用x和1x代表,则该化合物的化学式表示为____________,通过测定密度ρ和晶胞参数,可以计算该物质的x值,完成它们关系表达式:ρ=________g·cm3。
以晶胞参数为单位长度建立的坐标系可以表示晶胞中各原子的位置,称作原子分数坐标,例如图1中原子1的坐标为(1/2,1/2,1/2),则原子2和3的坐标分别为__________、__________。
36.[化学——选修5:有机化学基础](15分)
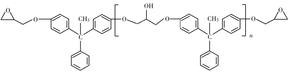
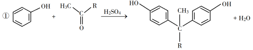
环氧树脂因其具有良好的机械性能、绝缘性能以及与各种材料的粘结性能,已广泛应用于涂料和胶黏剂等领域。下面是制备一种新型环氧树脂G的合成路线:


已知以下信息:



回答下列问题:
(1)A是一种烯烃,化学名称为__________,C中官能团的名称为__________、__________。
(2)由B生成C的反应类型为__________。
(3)由C生成D的反应方程式为__________。
(4)E的结构简式为__________。
(5)E的二氯代物有多种同分异构体,请写出其中能同时满足以下条件的芳香化合物的结构简式__________、__________。
①能发生银镜反应;②核磁共振氢谱有三组峰,且峰面积比为3∶2∶1。
(6)假设化合物D、F和NaOH恰好完全反应生成1 mol单一聚合度的G,若生成的NaCl和H2O的总质量为765g,则G的n值理论上应等于__________。
37.[生物——选修1:生物技术实践](15分)
物质W是一种含氮有机物,会污染土壤。W在培养基中达到一定量时培养基表现为不透明。某研究小组欲从土壤中筛选出能降解W的细菌(目标菌)。回答下列问题。
(1)要从土壤中分离目标菌,所用选择培养基中的氮源应该是_________。
(2)在从土壤中分离目标菌的过程中,发现培养基上甲、乙两种细菌都能生长并形成菌落(如图所示)。如果要得到目标菌,应该选择________菌落进一步纯化,选择的依据是________。

(3)土壤中的某些微生物可以利用空气中的氮气作为氮源。若要设计实验进一步确定甲、乙菌能否利用空气中的氮气作为氮源,请简要写出实验思路、预期结果和结论,即_______。
(4)该小组将人工合成的一段DNA转入大肠杆菌,使大肠杆菌产生能降解W的酶(酶E)。为了比较酶E与天然酶降解W能力的差异,该小组拟进行如下实验,请完善相关内容。
①在含有一定浓度W的固体培养基上,A处滴加酶E的缓冲液,B处滴加含有相同浓度天然酶的缓冲液,C处滴加_________,三处滴加量相同。
②一段时间后,测量透明圈的直径。若C处没有出现透明圈,说明___________;若A、B处形成的透明圈直径大小相近,说明___________。
38.[生物——选修3:现代生物科技专题](15分)
植物组织培养技术在科学研究和生产实践中得到了广泛的应用。回答下列问题。

(1)植物微型繁殖是植物繁殖的一种途径。与常规的种子繁殖方法相比,这种微型繁殖技术的特点有______(答出2点即可)。
(2)通过组织培养技术,可把植物组织细胞培养成胚状体,再通过人工种皮(人工薄膜)包装得到人工种子(如图所示),这种人工种子在适宜条件下可萌发生长。人工种皮具备透气性的作用是________。人工胚乳能够为胚状体生长提供所需的物质,因此应含有植物激素、___________和___________等几类物质
(3)用脱毒苗进行繁殖,可以减少作物感染病毒。为了获得脱毒苗,可以选取植物的___________进行组织培养。
(4)植物组织培养技术可与基因工程技术相结合获得转基因植株。将含有目的基因的细胞培养成一个完整植株的基本程序是______(用流程图表示)。
2019年普通高等学校招生全国统一考试
理科综合参考答案
1.A 2.B 3.C 4.D 5.B 6.A
7.D 8.B 9.D 10.A 11.C 12.B 13.C
14.D 15.C 16.A 17.B 18.AD 19.BD 20.AC 21.AD


(2)设刹车前汽车匀速行驶时的速度大小为v1,则t1时刻的速度也为v1,t2时刻的速度也为v2,在t2时刻后汽车做匀减速运动,设其加速度大小为a,取Δt=1s,设汽车在t2+n-1Δt内的位移为sn,n=1,2,3,…。
若汽车在t2+3Δt~t2+4Δt时间内未停止,设它在t2+3Δt时刻的速度为v3,在t2+4Δt时刻的速度为v4,由运动学有
①


28.(15分)
(1)增加固液接触面积,提取充分 沸石
(2)乙醇易挥发,易燃 使用溶剂少,可连续萃取(萃取效率高)
(3)乙醇沸点低,易浓缩 AC
(4)单宁酸 水
(5)升华
29.(1)从形态学上端到形态学下端
(2)琼脂块中的生长素进入胚芽鞘切段的左侧,使胚芽鞘左侧的生长素浓度高于右侧,引起胚芽鞘左侧生长快于右侧,形成α角
(3)乙左右两侧琼脂块中的生长素含量基本相同,但小于甲琼脂块中生长素的含量
30.(1)很低 灭活
(2)染色体复制一次,而细胞连续分裂两次
(3)激素等是通过体液运输的、作用时间比较长、反应速度较缓慢、作用范围较广泛
31.(1)太阳能 初级消费者、分解者
(2)生产者净光合作用的放氧量 生产者光合作用的总放氧量 生产者呼吸作用的耗氧量
32.(1)绿色 aabb
(2)AaBb 4
(3)Aabb、aaBb AABB、AAbb、aaBB、AaBB、AABb AABB
33.(15分)
(1)大于 等于 大于(5分)
(2)10分
(i)设抽气前氢气的压强为p10,根据力的平衡条件得
(p10–p)·2S=(p0–p)·S①
得p10=1/2(p0+p)②
(ii)设抽气后氢气的压强和体积分别为p1和V1,氢气的压强和体积分别为p2和V2,根据力的平衡条件有p2·S=p1·2S③
由玻意耳定律得p1V1=p10·2V0④
p2V2=p0·V0⑤
由于两活塞用刚性杆连接,故
V1–2V0=2(V0–V2)⑥
联立②③④⑤⑥式解得

(6)8
37.(1)W
(2)乙 乙菌落周围出现透明圈,说明乙菌能降解W
(3)将甲、乙菌分别接种在无氮源培养基上,若细菌能生长,则说明该细菌能利用空气中的氮气作为氮源
(4)①缓冲液 ②缓冲液不能降解W 酶E与天然酶降解W的能力相近
38.(1)能保持植物原有的遗传特性,繁殖速度快
(2)有利于胚状体进行呼吸作用 矿质元素 糖
(3)茎尖
![]()
本文来自:逍遥右脑记忆 http://www.jiyifa.com/gaokao/1338794.html
相关阅读:
