带电粒子在匀强电场中的偏转:
(1)运动状态分析:带电粒子以速度v0沿垂直于电场线方向飞入匀强电场时,受到恒定的与初速度方向垂直的电场力作用而做匀变速曲线运动,如图所示。 
(2)处理方法:类似于平抛运动的处理,应用运动的合成与分解的方法。沿初速度方向上做速度为v0的匀速直线运动,垂直于初速度方向上做初速度为零的匀加速直线运动。
(3)所涉及的方程及结论
①加速度
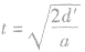
②运动时间
a.能飞出极板间时, 
b.打在极板上时,
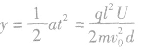
③侧移量
a.离开电场时,
结合加速电场U0时,由
有
即先加速再偏转时侧移量与粒子的比荷无关:
b.打在极板上时,
此时 
④偏转角
结合加速电场时,由
有
即先加速再偏转时偏转角也与粒子的比荷无关。另外,当粒子飞出极板间时,结合tanθ与y的表达式有:
即粒子飞出偏转电场时,速度反向延长线交水平位移的中点l/2处,粒子就像是从极板间l/2处沿直线射出一样。
本文来自:逍遥右脑记忆 http://www.jiyifa.com/gaozhong/301600.html
相关阅读:2015年高三复习必须遵循4个科学步骤



