回归直线:
如果散点图中点的分布从整体上看大致在一条直线附近,我们就称这两个变量之间具有线性相关关系,这条直线叫做回归直线;
最小二乘法:
使得样本数据的点到回归直线的距离的平方和最小的方法叫做最小二乘法。
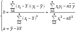
回归直线方程:
,
其中
。
回归分析是处理变量相关关系的一种常用数学方法,其步骤为:
(1)确定特定量之间是否有相关关系,如果有,那么就找出他们之间贴近的数学表达式;
(2)根据一组观察值,预测变量的取值及判断变量取值的变化趋势;
(3)求出回归直线方程。
本文来自:逍遥右脑记忆 http://www.jiyifa.com/gaozhong/325475.html
相关阅读:高中数学课堂教学常用语举隅



