圆的参数方程:
(θ∈[0,2π)),(a,b)为圆心坐标,r为圆的半径,θ为参数(x,y)为经过点的坐标。

圆心为原点,半径为r的圆的参数方程:
如图,如果点P的坐标为(x,y),圆半径为r,
根据三角函数定义,点P的横坐标x、纵坐标y都是θ的函数,即

本文来自:逍遥右脑记忆 http://www.jiyifa.com/gaozhong/417375.html
相关阅读:高中数学知识点:函数的零点与方程根的联系
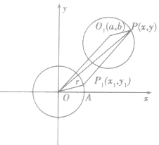
圆的参数方程:
(θ∈[0,2π)),(a,b)为圆心坐标,r为圆的半径,θ为参数(x,y)为经过点的坐标。

圆心为原点,半径为r的圆的参数方程:
如图,如果点P的坐标为(x,y),圆半径为r,
根据三角函数定义,点P的横坐标x、纵坐标y都是θ的函数,即
